| 일 | 월 | 화 | 수 | 목 | 금 | 토 |
|---|---|---|---|---|---|---|
| 1 | ||||||
| 2 | 3 | 4 | 5 | 6 | 7 | 8 |
| 9 | 10 | 11 | 12 | 13 | 14 | 15 |
| 16 | 17 | 18 | 19 | 20 | 21 | 22 |
| 23 | 24 | 25 | 26 | 27 | 28 | 29 |
| 30 |
- 일상회피
- opcode
- 치유
- ㅇ
- 보안
- Shared Elements
- 버킷리스트
- jvm
- Navigation Component
- abstract
- 보안취약점
- 취약점
- bytecode
- 일상탈출
- Android
- 여행
- 심리학
- Interface
- 회피
- IMPLEMENT
- javap
- Transition
- extends
- bytecode 분석
- static
- HelloWorld
- throws
- 심리여행
- Recylcer
- 여행계획
- Today
- Total
패스트터틀
(Baekjoon) brute-force + dp - (1) 부분수열의 합( + 부분집합 출력) 본문
https://www.acmicpc.net/problem/1182
1182번: 부분수열의 합
첫째 줄에 정수의 개수를 나타내는 N과 정수 S가 주어진다. (1 ≤ N ≤ 20, |S| ≤ 1,000,000) 둘째 줄에 N개의 정수가 빈 칸을 사이에 두고 주어진다. 주어지는 정수의 절댓값은 100,000을 넘지 않는다.
www.acmicpc.net
https://sudeky.tistory.com/126
(Baekjoon) brute-force - (1) 부분수열의 합( + 부분집합 출력)
https://www.acmicpc.net/problem/1182 1182번: 부분수열의 합 첫째 줄에 정수의 개수를 나타내는 N과 정수 S가 주어진다. (1 ≤ N ≤ 20, |S| ≤ 1,000,000) 둘째 줄에 N개의 정수가 빈 칸을 사이에 두고..
sudeky.tistory.com
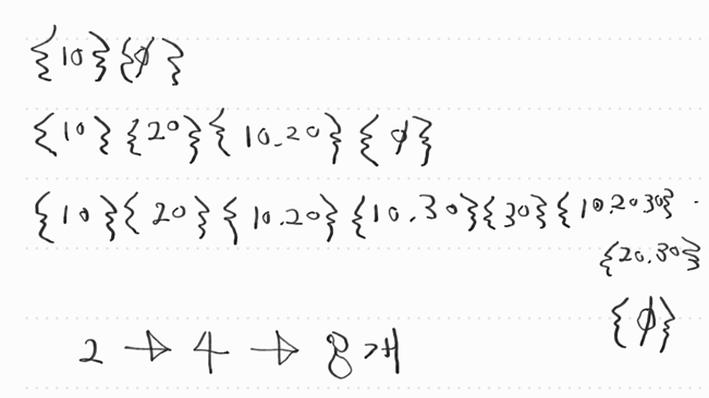
기존에 풀던 방식으로 풀경우 아래와 같은 형태로 탐색을 하게된다.

기존에 15번을 거쳐야 완성되던 피라미드 형태에서

{10} + {20},{10,20} + {30}{10,30}{20,30}{10,20,30}으로 8번만 거치면 완성되는 형태로 바꿀수있다.
시간이 매우 단축된다.

한번구한것은 다시 구하지않기 위해서
d[] 배열에 부분집합을 저장하고 저장되어있는 배열을 활용하여서 추가만 하는 방법으로 진행한다.
그리고 위의 점화식을 사용해서 for문으로 만들경우 아주쉽게 부분집합을 출력가능하다.
package bruteforce;
import java.io.BufferedReader;
import java.io.IOException;
import java.io.InputStreamReader;
public class _1182_dp {
static StringBuilder sb = new StringBuilder();
static String d[] = new String[100];
public static void main(String args[]) throws IOException, NumberFormatException{
BufferedReader br = new BufferedReader(new InputStreamReader(System.in));
int num = Integer.parseInt(br.readLine());
String n[] = br.readLine().split(" ");
int count=1;
d[0] = "";
for(int i = 0 ; i < num ; i++){
for(int j = 0 ; j < 1 << i ; j++){
d[count] = d[j] +" " +n[i];
count++;
}
}
for(int i = 0 ; i < 1 << num ; i++){
System.out.println(d[i]);
}
}
}
위방식으로 해당문제를 풀경우
package bruteforce;
import java.io.BufferedReader;
import java.io.IOException;
import java.io.InputStreamReader;
import java.util.Scanner;
public class _1182_dp {
static StringBuilder sb = new StringBuilder();
static int d[];
static int n[] = new int[21];
static int dap=0;
public static void main(String args[]) throws IOException, NumberFormatException{
Scanner sc = new Scanner(System.in);
int num = sc.nextInt();
int hap = sc.nextInt();
for (int i = 0; i < num; i++) {
n[i] = sc.nextInt();
}
d = new int[1 << num];
int count=1;
d[0] = 0;
for(int i = 0 ; i < num ; i++){
for(int j = 0 ; j < 1 << i ; j++){
d[count] = d[j]+n[i];
if(d[count] == hap) dap++;
count++;
}
}
System.out.println(dap);
}
}
몇개만 수정하면 답이 완성된다.
백준문제풀이Github :
https://github.com/sdk0213/baekjoon-study
sdk0213/baekjoon-study
solve a baekjoon question. Contribute to sdk0213/baekjoon-study development by creating an account on GitHub.
github.com
'Algorithm > baekjoon' 카테고리의 다른 글
| (Baekjoon) dp - (7) 가장 긴 증가하는 부분 수열_O(NlogN) (0) | 2019.12.13 |
|---|---|
| (Baekjoon) dp - (7) 가장 긴 증가하는 부분 수열_O(N^2) (0) | 2019.12.10 |
| (Baekjoon) brute-force - (1) 부분수열의 합( + 부분집합 출력) (0) | 2019.12.07 |
| (Baekjoon) dp - (6) 타일 채우기 3 (0) | 2019.12.02 |
| (Baekjoon) dp - (5) 타일 채우기 (0) | 2019.11.29 |