| 일 | 월 | 화 | 수 | 목 | 금 | 토 |
|---|---|---|---|---|---|---|
| 1 | ||||||
| 2 | 3 | 4 | 5 | 6 | 7 | 8 |
| 9 | 10 | 11 | 12 | 13 | 14 | 15 |
| 16 | 17 | 18 | 19 | 20 | 21 | 22 |
| 23 | 24 | 25 | 26 | 27 | 28 | 29 |
| 30 |
- HelloWorld
- 심리학
- throws
- 버킷리스트
- static
- 치유
- Navigation Component
- ㅇ
- Android
- 회피
- extends
- Shared Elements
- Recylcer
- abstract
- 심리여행
- bytecode 분석
- opcode
- 일상회피
- 일상탈출
- IMPLEMENT
- 여행
- Interface
- javap
- 여행계획
- 취약점
- 보안취약점
- bytecode
- jvm
- Transition
- 보안
- Today
- Total
패스트터틀
(Baekjoon) dp - (7) 가장 긴 증가하는 부분 수열_O(NlogN) 본문
https://www.acmicpc.net/problem/11053
11053번: 가장 긴 증가하는 부분 수열
수열 A가 주어졌을 때, 가장 긴 증가하는 부분 수열을 구하는 프로그램을 작성하시오. 예를 들어, 수열 A = {10, 20, 10, 30, 20, 50} 인 경우에 가장 긴 증가하는 부분 수열은 A = {10, 20, 10, 30, 20, 50} 이고, 길이는 4이다.
www.acmicpc.net
기존에 하던 방식에서 굳이 자기보다 작은것들을 찾고 거기서 최댓값을 찾기위해 다 검색을 해야하는가?
라는 의문에서 시작하여서 더 빠르게 진행하는 방식으로 이끌어 갈수있다.
X,Y테이블을 만든다.
X테이블은 기존하던것처럼 A와 D에관한 테이블이고
Y테이블은 D에관한 테이블이다.
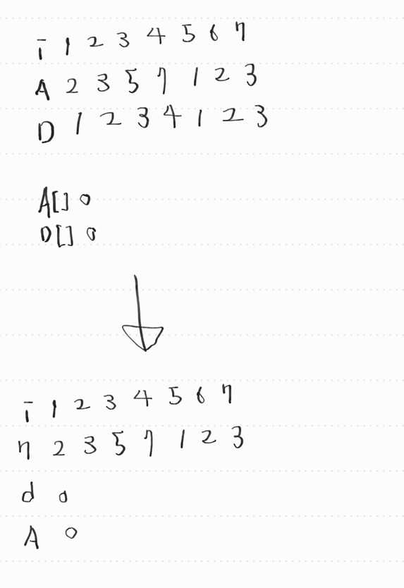
table X: (D는 lis)(편의상 i 는 1부터)
i ㅣ 1 2 3 4 5 6 7
A ㅣ 6 7 8 2 3 4 5
D ㅣ 1 2 3 1 2 3 4
table Y:
D ㅣ
A ㅣ
D[i] = k가 만족하는 i 중에서 A[i]의 최솟값을 대입하는것이다. 쉽게 설명하면은
X테이블에서 D가 1인 i는 1과 4이다.
i 가 1,4 인 A는 6과 4이다.
이 6과 4중에 가장 작은값 4이다.
그러므로 Y테이블에 이렇게 써준다.
table Y:
D ㅣ 1
A ㅣ 4
다음으로 D가 2인것은
i가 2,5이고
A에서 7,3이다.
이중 작은값은 3이다.
그러므로
table Y:
D ㅣ 1 2
A ㅣ 4 3
으로 만들수있다.
이런식으로 생성을하면서 진행하는데
자세한것은 나무위키 링크 걸어두었으니 그곳이 과정을 더 자세히 설명되어있으니 참고!!
최장 증가 부분 수열 - 나무위키
어떤 임의의 수열이 주어질 때, 이 수열에서 몇 개의 수들을 제거해서 부분수열을 만들 수 있다. 이때 만들어진 부분수열 중 오름차순으로 정렬된 가장 긴 수열을 최장 증가 부분 수열이라 한다. 예를 들어 다음 수열이 주어졌다고 하자. 3 5 7 9 2 1 4 8 위 수열에서 몇 개의 수를 제거해 부분수열을 만들 수 있다. 3 7 9 1 4 8 (5, 2 제거) 7 9 1 8 (3, 5, 2, 4 제거) 3 5 7 8 (9, 2, 1, 4 제거) 1 4 8
namu.wiki
이런식으로 테이블을 하나 더 생성하여서 데이터를 만든다면 기존에서 0부터 i-1까지 비교하던과정을
단순히 테이블 Y에서 자신보다 큰값을 찾으면 해당 D값에 + 1을 해주고 해당값을 교체만 해주면된다.
너무너무 간단히 해결이된다.

그리고 이 과정에서 테이블 Y에서 자신보다 큰값을 찾는것은 이진탐색으로 진행한다. (최적화)

약 O(NlogN) 정도로 줄어든다고 한다.

우선 위와 같이 아래 코드처럼 데이터를 만들것이다.
1) n에서 값을 꺼낸다.
2) n보다 큰값을 list에서 찾기 (lowerbound사용)
lowerbound를 모른다면 참고하자 > 안어려움
https://sudeky.tistory.com/132
(basic) Searching Linear, Binary(upper,lower bound)
본 포스팅은 블로거가 개발언어의 개념정리 필요를 위한것입니다. 목차와 차례가 뒤죽박죽이며 오직 블로거의 편의목적을 위해 작성되었음을 알려드립니다. - Linear Searching - Binary Searching - Upper,Lower..
sudeky.tistory.com
3) n보다 큰값이 없다면 list에 추가
4) n보다 큰값이 있다면 비교하여서 큰값을 list.set() 으로 수정
package dp;
import java.io.IOException;
import java.util.ArrayList;
import java.util.List;
import java.util.Scanner;
public class _11053_nlogn {
static int n[] = new int[1001]; // 값 받는것
static List<Integer> list;
static int lowerbound(int n){
int s = 0;
int e = list.size();
int m;
while(s<e){
m = (s+e)/2;
if(list.get(m) < n) s = m + 1;
else e = m;
}
return e;
}
public static void main(String args[]) throws IOException, NumberFormatException {
list = new ArrayList<Integer>();
list.add(0);
Scanner sc = new Scanner(System.in);
int num = sc.nextInt();
for (int i = 1; i <= num; i++) {
n[i] = sc.nextInt();
}
int lb;
for (int i = 1; i < n.length; i++) {
lb = lowerbound(n[i]);
if(list.size() == lb)
list.add(n[i]);
else{
if(list.get(lb) > n[i])
list.set(lb,n[i]);
}
}
System.out.println(list.size() - 1);
sc.close();
}
}
백준문제풀이Github :
https://github.com/sdk0213/baekjoon-study
sdk0213/baekjoon-study
solve a baekjoon question. Contribute to sdk0213/baekjoon-study development by creating an account on GitHub.
github.com
'Algorithm > baekjoon' 카테고리의 다른 글
| (Baekjoon) GreedyAlgorithm - (15) 한 줄로 서기 (0) | 2019.12.16 |
|---|---|
| (Baekjoon) GreedyAlgorithm - (14) 반도체 설계 (0) | 2019.12.13 |
| (Baekjoon) dp - (7) 가장 긴 증가하는 부분 수열_O(N^2) (0) | 2019.12.10 |
| (Baekjoon) brute-force + dp - (1) 부분수열의 합( + 부분집합 출력) (0) | 2019.12.07 |
| (Baekjoon) brute-force - (1) 부분수열의 합( + 부분집합 출력) (0) | 2019.12.07 |